6÷2(1+2)
6÷2(1+2)의 답은 무엇일까.
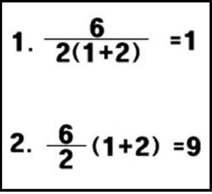
최근 온라인 커뮤니티에는 ‘6÷2(1+2)=1? 9?’라는 게시물이 올라왔다.
공개된 게시물에는 6÷2(1+2)의 두 가지 계산법을 담았다.
첫 번째 계산법은 괄호 안의 1+2를 계산 한 후 식의 순서대로 계산을 해 답이 9가 나온다.
그러나 괄호 안의 1+2를 계산한 후 2를 곱한 뒤 6을 나누면 정답은 1이 된다.
이 두 가지 계산법에 따라 6÷2(1+2)의 답이 달라져 네티즌들의 궁금증을 자아냈다.
6÷2(1+2) 게시물에 네티즌들은 "계산기로 풀어보자", "아 귀찮아~", "그래서 정답이 뭐야"등의 다양한 반응을 보였다.
저작권자 © 소비자가 만드는 신문 무단전재 및 재배포 금지

